안녕하세요! 오늘은 최근에 시청한 유튜브 신박Ai의 “[인공지능을 위한 머신러닝101] 머신러닝을 위한 기초통계개념” 영상을 바탕으로, 인공지능과 머신러닝을 공부하는 데 꼭 필요한 통계 개념들을 정리해보았습니다. 머신러닝이나 데이터과학, 인공지능을 처음 접하는 분들에게 도움이 되면 좋겠습니다.
이 포스팅은 후반부 강의 내용입니다.
전반부의 내용은 아래의 포스팅을 참고하세요.
[AI 인공지능 머신러닝 딥러닝/인공지능 수학] - 2025 인공지능·머신러닝 입문자를 위한 핵심 통계개념 완전정복 (1/2)
2025 인공지능·머신러닝 입문자를 위한 핵심 통계개념 완전정복 (1/2)
안녕하세요! 오늘은 최근에 시청한 유튜브 신박Ai의 “[인공지능을 위한 머신러닝101] 머신러닝을 위한 기초통계개념” 영상을 바탕으로, 인공지능과 머신러닝을 공부하는 데 꼭 필요한 통계 개
inner-game.tistory.com
유튜브 재생 목록
https://youtube.com/playlist?list=PLW2RwdZfXkE9rjbyxetoxDfEx9vCvUIV2&si=VEf5U0nO4wUcdJPI

예를들면 우리 예제에서 P(이메일은) 이메일일 경우이기 때문에 우리의 경우는 그냥 1
그중에 스팸일 확률이 위의 p(스팸)
왼쪽은 p(스팸|이메일) 이라고 조건부확률이라는 것인데 '어떤 이메일이 왔을 때, 그 이메일이 스팸메일일 확률'
아래 그림에서 위의 빨간 동그라미: 우도 Likelyhood - 주어진 이메일이 스팸이라 할 때, 그 이메일의 단어 패턴이 얼마나 스팸 메일의 패턴을 따르는 지를 보여주는 지표입니다.








하지만 이 나이브 베이즈 분류법은 중대한 약점이 하나 있습니다.
"오늘 긴급 대출" 일 경우 '오늘'이 스팸에서 0이 되기 때문에 확률을 다 곱한 우도 또한 0이 될것이고,


오늘을 0으로 먼저 추가




스무고개게임의 원리와 같다.



시그마 밑의 i는 분기(branch)의 개수입니다.
분기는 왼쪽 테이블의 '데이트'컬럼인 예/아니오 입니다.
제곱의 의미:
두번연속 파란색이 나올 경우 상자안에 주로 파란색이 들어있다고 생각할 수 있음.





여친이 언제든지 데이트 해줄경우

즉 지니계수는 낮은게 목적이며
의사결정나무를 통해 지니계수를 낮추는 것이 알고리즘의 목표입니다.
다시 예제로 돌아가보자.

먼저 맑은의 경우
예스가 1개이고 노가 2개 총 3개라는 의미의 1/3 2/3 제곱











의사결정나무의 중요한 결점
트리 구조가 데이터에 따라 크게 바뀔 수 있는 불안정성이 있다.
새로운 데이터 하나를 추가해보자.(맨밑에줄)

트리의 구조가 크게 바뀌었음

이에 대한 솔루션이 랜덤포레스트








KNN은 이웃을 보고 판단하는 모델인데, 이 이웃이라는 개념이, 수사에서도, 추천 시스템에서도, 의료에서도 실제로 쓰이고 있습니다.
이 다음 8강은 '이웃을 찾는것' 에서 한 걸음 더 나아가서 '비슷한 친구들끼리 모아주는 알고리즘'인 K-means클러스터링에 대해 배우게 됩니다.





이렇게 K 값에 따라 결과가 흔들리기 때문에,

하지만, 판단의 근거가 되는 좋은 특징들로 데이터가 풍부해진다면,



목표



기본 설명은 여기까지.
어떻게 최적의 클러스터를 찾아내나?
여기서는 2개, 그리고 A,F 로 한다.


유클리드 거리 사용

클러스터 1에 할당
C도 클러스터 1에 할당
E는 클러스터 2에 할당
다음단계는 중심점 재계산 단계

C2도 새로운 좌표 할당
그리고 계속 해준다.







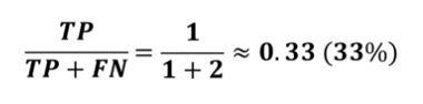
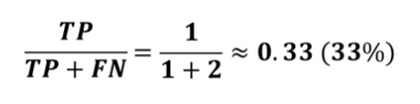
머신러닝 모델의 성능을 측정하는 5가지 중요한 지표




70%면 괜찮은거 아닌가? 하고 생각할지 모르지만 아님.
















[AI 인공지능 머신러닝 딥러닝] - 이지 딥러닝 - 혁펜하임 | Easy! 딥러닝 - 무료 강의 및 책 소개
이지 딥러닝 - 혁펜하임 | Easy! 딥러닝 - 무료 강의 및 책 소개
한국어로 딥러닝 공부해봤다는 사람중에 안들어 본 사람이 없을것 같은 이지 딥러닝 시리즈 입니다. 이 강의는 유투브로 제공되며 책도 있습니다. 이지 딥러닝 유투브 강의이지 딥러닝 유투브
inner-game.tistory.com
[AI 인공지능 머신러닝 딥러닝] - 2025 인공지능 기초 완전정복: 유튜브로 배우는 신경망·딥러닝·실습코딩 가이드
2025 인공지능 기초 완전정복: 유튜브로 배우는 신경망·딥러닝·실습코딩 가이드
안녕하세요! 오늘은 제가 최근에 시청한 유튜브 플레이리스트 “인공신경망기초-신박Ai”를 바탕으로, 인공지능(Artificial Intelligence; AI) 기초에 대해 공부한 내용을 정리하여 티스토리 블로그 포
inner-game.tistory.com
[AI 인공지능 머신러닝 딥러닝] - AI 비전공자를 위한 기초 수학 1 선형대수학 | KAIST-ON 플랫폼 소개
AI 비전공자를 위한 기초 수학 1 선형대수학 | KAIST-ON 플랫폼 소개
카이스트에서 제공하는 무료 강의입니다. 카이스트에서는 KAIST-ON 이라는 온라인 교육 플랫폼을 제공합니다. 추가적으로 해당 강의를 듣기 전이나 후에 이 강의를 듣는 것도 추천드립니다.https://
inner-game.tistory.com