Linked List problems are relatively easy to master. Do not forget the Two-pointer technique, which not only applicable to Array problems but also Linked List problems as well.
Another technique to greatly simplify coding in linked list problems is the dummy node trick.
We recommend: Add Two Numbers and Intersection of Two Linked Lists.
| iterative | recursive | |
| Add Two Numbers * | 10/18, 12/14 | |
| Odd Even Linked List | 12/14 다시풀어보기 | |
| Intersection of Two Linked Lists * | 12/14 다시풀어보기 |
* important
leetcode.com/problems/add-two-numbers/
You are given two non-empty linked lists representing two non-negative integers. The digits are stored in reverse order, and each of their nodes contains a single digit. Add the two numbers and return the sum as a linked list.
You may assume the two numbers do not contain any leading zero, except the number 0 itself.
Example 1:

Input: l1 = [2,4,3], l2 = [5,6,4] Output: [7,0,8] Explanation: 342 + 465 = 807.
Example 2:
Input: l1 = [0], l2 = [0] Output: [0]
Example 3:
Input: l1 = [9,9,9,9,9,9,9], l2 = [9,9,9,9] Output: [8,9,9,9,0,0,0,1]
Constraints:
Intuition
Keep track of the carry using a variable and simulate digits-by-digits sum starting from the head of list, which contains the least-significant digit.

Figure 1. Visualization of the addition of two numbers: 342 + 465 = 807342+465=807.
Each node contains a single digit and the digits are stored in reverse order.
Algorithm
Just like how you would sum two numbers on a piece of paper, we begin by summing the least-significant digits, which is the head of l1l1 and l2l2. Since each digit is in the range of 0 \ldots 90…9, summing two digits may "overflow". For example 5 + 7 = 125+7=12. In this case, we set the current digit to 22 and bring over the carry = 1carry=1 to the next iteration. carrycarry must be either 00 or 11 because the largest possible sum of two digits (including the carry) is 9 + 9 + 1 = 199+9+1=19.
The pseudocode is as following:
Note that we use a dummy head to simplify the code. Without a dummy head, you would have to write extra conditional statements to initialize the head's value.
Take extra caution of the following cases:
Test caseExplanation
| l1=[0,1]l1=[0,1] l2=[0,1,2]l2=[0,1,2] |
When one list is longer than the other. |
| l1=[]l1=[] l2=[0,1]l2=[0,1] |
When one list is null, which means an empty list. |
| l1=[9,9]l1=[9,9] l2=[1]l2=[1] |
The sum could have an extra carry of one at the end, which is easy to forget. |
public ListNode addTwoNumbers(ListNode l1, ListNode l2) {
ListNode dummyHead = new ListNode(0);
ListNode p = l1, q = l2, curr = dummyHead;
int carry = 0;
while (p != null || q != null) {
int x = (p != null) ? p.val : 0;
int y = (q != null) ? q.val : 0;
int sum = carry + x + y;
carry = sum / 10;
curr.next = new ListNode(sum % 10);
curr = curr.next;
if (p != null) p = p.next;
if (q != null) q = q.next;
}
if (carry > 0) {
curr.next = new ListNode(carry);
}
return dummyHead.next;
}
Complexity Analysis
Time complexity : O(\max(m, n))O(max(m,n)). Assume that mm and nn represents the length of l1l1 and l2l2 respectively, the algorithm above iterates at most \max(m, n)max(m,n) times.
Space complexity : O(\max(m, n))O(max(m,n)). The length of the new list is at most \max(m,n) + 1max(m,n)+1.
Follow up
What if the the digits in the linked list are stored in non-reversed order? For example:
(3 \to 4 \to 2) + (4 \to 6 \to 5) = 8 \to 0 \to 7(3→4→2)+(4→6→5)=8→0→7
carry 라는 변수명을 사용했으면 더 좋았을것이다. + p,q,curr
leetcode.com/problems/odd-even-linked-list/
Medium
2559323Add to ListShare
Given a singly linked list, group all odd nodes together followed by the even nodes. Please note here we are talking about the node number and not the value in the nodes.
You should try to do it in place. The program should run in O(1) space complexity and O(nodes) time complexity.
Example 1:
Input: 1->2->3->4->5->NULL Output: 1->3->5->2->4->NULL
Example 2:
Input: 2->1->3->5->6->4->7->NULL Output: 2->3->6->7->1->5->4->NULL
Constraints:
Intuition
Put the odd nodes in a linked list and the even nodes in another. Then link the evenList to the tail of the oddList.
Algorithm
The solution is very intuitive. But it is not trivial to write a concise and bug-free code.
A well-formed LinkedList need two pointers head and tail to support operations at both ends. The variables head and odd are the head pointer and tail pointer of one LinkedList we call oddList; the variables evenHead and even are the head pointer and tail pointer of another LinkedList we call evenList. The algorithm traverses the original LinkedList and put the odd nodes into the oddList and the even nodes into the evenList. To traverse a LinkedList we need at least one pointer as an iterator for the current node. But here the pointers odd and even not only serve as the tail pointers but also act as the iterators of the original list.
The best way of solving any linked list problem is to visualize it either in your mind or on a piece of paper. An illustration of our algorithm is following:

Figure 1. Step by step example of the odd and even linked list.
public class Solution {
public ListNode oddEvenList(ListNode head) {
if (head == null) return null;
ListNode odd = head, even = head.next, evenHead = even;
while (even != null && even.next != null) {
odd.next = even.next;
odd = odd.next;
even.next = odd.next;
even = even.next;
}
odd.next = evenHead;
return head;
}
}
Complexity Analysis
Time complexity : O(n)O(n). There are total nn nodes and we visit each node once.
Space complexity : O(1)O(1). All we need is the four pointers.
leetcode.com/problems/intersection-of-two-linked-lists/
Easy
4528520Add to ListShare
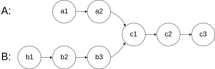
Write a program to find the node at which the intersection of two singly linked lists begins.
For example, the following two linked lists:

begin to intersect at node c1.
Example 1:

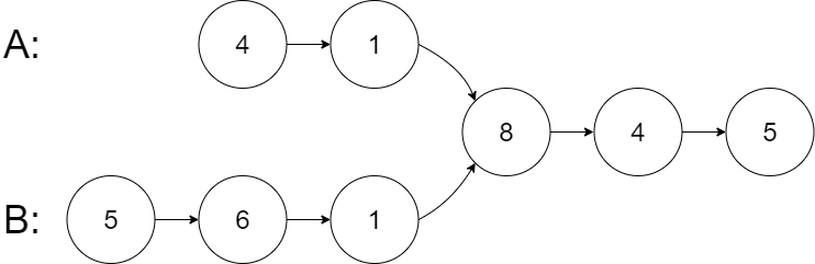
Input: intersectVal = 8, listA = [4,1,8,4,5], listB = [5,6,1,8,4,5], skipA = 2, skipB = 3 Output: Reference of the node with value = 8 Input Explanation: The intersected node's value is 8 (note that this must not be 0 if the two lists intersect). From the head of A, it reads as [4,1,8,4,5]. From the head of B, it reads as [5,6,1,8,4,5]. There are 2 nodes before the intersected node in A; There are 3 nodes before the intersected node in B.
Example 2:

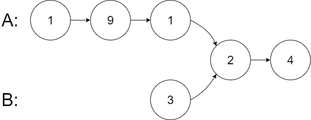
Input: intersectVal = 2, listA = [1,9,1,2,4], listB = [3,2,4], skipA = 3, skipB = 1 Output: Reference of the node with value = 2 Input Explanation: The intersected node's value is 2 (note that this must not be 0 if the two lists intersect). From the head of A, it reads as [1,9,1,2,4]. From the head of B, it reads as [3,2,4]. There are 3 nodes before the intersected node in A; There are 1 node before the intersected node in B.
Example 3:

Input: intersectVal = 0, listA = [2,6,4], listB = [1,5], skipA = 3, skipB = 2 Output: null Input Explanation: From the head of A, it reads as [2,6,4]. From the head of B, it reads as [1,5]. Since the two lists do not intersect, intersectVal must be 0, while skipA and skipB can be arbitrary values. Explanation: The two lists do not intersect, so return null.
Notes:
For each node ai in list A, traverse the entire list B and check if any node in list B coincides with ai.
Complexity Analysis
Time complexity : O(mn)O(mn).
Space complexity : O(1)O(1).
Traverse list A and store the address / reference to each node in a hash set. Then check every node bi in list B: if bi appears in the hash set, then bi is the intersection node.
Complexity Analysis
Time complexity : O(m+n)O(m+n).
Space complexity : O(m)O(m) or O(n)O(n).
public class Solution {
public ListNode getIntersectionNode(ListNode headA, ListNode headB) {
if(headA == null || headB == null) return null;
ListNode pa = headA;
ListNode pb = headB;
while(pa != pb) {
pa = (pa == null)? headB : pa.next;
pb = (pb == null)? headA : pb.next;
}
return pa;
}
}
Complexity Analysis
Time complexity : O(m+n)O(m+n).
Space complexity : O(1)O(1).
pa,pb의 널을 체크한다. pa.next나 pb.next의 널을 체크하는것이 아니고..